DOMINIO DE FUNCIONES: POLINÓMICA, RAÍZ DE ÍNDICE PAR, RAÍZ DE ÍNDICE IMPAR Y RACIONAL
Blog de funciones de R en R: https://bit.ly/2Vy1eUJ
Vídeos de funciones en YouTube: https://bit.ly/2VzB2cr
Matemática Secundaria y superior: https://goo.gl/Shd8r4
Vídeos de dominio de funciones de R en R:
Dominio de una función polinómica:
Dominio de una función raíz de índice par: https://youtu.be/gBcPayxcPg0
Dominio de una función raíz de índice par:
Dominio de funciones: polinómica, raíz de índice par, raíz de índice impar y racional: https://youtu.be/0gj03Acd_rQ
RANGO DE FUNCIONES: LINEAL, CUADRÁTICA Y RACIONAL
Blog de funciones de R en R:
Vídeos de funciones en YouTube:
Matemática Secundaria y superior:
Vídeos de rango de funciones de R en R:
Rango de una función lineal con restricción:
Rango de una función cuadrática:
Rango de una función racional o fraccionaria:
Rango de funciones con restricción:
FUNCIONES DE R EN R - GRÁFICA, DOMINIO Y RANGO
1.FUNCIONES
Uno de los más importantes conceptos de la matemática se refiere a un tipo especial de relaciones entre los elementos de dos conjuntos A y B, llamadas funciones de A en B.
Una
DEFINICIÓN DE FUNCIÓN
Una función es una correspondencia entre dos conjuntos, un conjunto de partida y un conjunto de llegada, tal que a cada valor del dominio le corresponde exactamente un valor del rango.
Una función de A en B es una relación f Ì A x B que hace corresponder a cada elemento del conjunto A a lo más un elemento y del conjunto B, se denota por y = f(x) Î B. Al conjunto A se le llama conjunto de partida y al conjunto B conjunto de llegada.
2.DOMINIO Y RANGO DE UNA FUNCIÓN
Se llama dominio de una función f al conjunto de todos sus antecedentes (primeras componentes), y se denota por:
Se llama rango o recorrido de la función f al conjunto de las imágenes de todos los elementos de A, vía f; y se denota Ran(f) ó R
3.CÁLCULO DEL DOMINIO DE FUNCIONES USUALES
a)FUNCIONES POLINÓMICAS -
Es un polinomio de grado “n” con coeficientes racionales.
Dom [ P (x)] = R, es decir, el dominio de cualquier función polinómica es el conjunto de números reales
Ejemplo:
Calcula el dominio de f(x) = x
Solución
Dom f(x) = R
b) FUNCIONES CON RAÍCES DE ÍNDICE PAR -
FUNCIONES CON RAÍCES DE ÍNDICE IMPAR -
)FUNCIONES RACIONALES -
Solución
En el numerador, “x” puede tomar cualquier valor real, pero, en el denominador “x” no puede tomar los valores de - 3 y 3.
Los diversos casos mencionados no siempre se presentan independientemente, es posible que en algunos ejercicios se presenten combinaciones de estos.
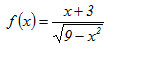
Ejemplo: Determina el dominio de
Solución
ACTIVIDAD DE APRENDIZAJE Nro. 01
Determina el dominio de:
4.CÁLCULO DEL RANGO DE UNA FUNCIÓN
Al determinar el rango de una función se presentan dos casos:
CASO 1: (SIN RESTRICCIÓN)
Cuando la función está definida en todo su dominio, entonces es suficiente despejar la variable “x” en términos de “y”= f(x), para luego analizar ¿Qué valores reales toma “y” de tal manera que “x” también sea real?. Como si se tratará del cálculo del dominio, pero esta vez, se trabaja con “y”.
Vídeos de rango de funciones en YouTube
CASO 2: (CON RESTRICCIÓN) - Vídeo
Cuando el dominio de la función se encuentra restringido. En este caso se pueden utilizar diversos métodos de resolución.















No hay comentarios.:
Publicar un comentario